Tidy summarizes information about the components of a model. A model component might be a single term in a regression, a single hypothesis, a cluster, or a class. Exactly what tidy considers to be a model component varies across models but is usually self-evident. If a model has several distinct types of components, you will need to specify which components to return.

# S3 method for glht
tidy(x, conf.int = FALSE, conf.level = 0.95, ...)

Arguments

x

A glht object returned by multcomp::glht().

conf.int

Logical indicating whether or not to include a confidence interval in the tidied output. Defaults to FALSE.

conf.level

The confidence level to use for the confidence interval if conf.int = TRUE. Must be strictly greater than 0 and less than 1. Defaults to 0.95, which corresponds to a 95 percent confidence interval.

...

Additional arguments. Not used. Needed to match generic signature only. Cautionary note: Misspelled arguments will be absorbed in ..., where they will be ignored. If the misspelled argument has a default value, the default value will be used. For example, if you pass conf.level = 0.9, all computation will proceed using conf.level = 0.95. Additionally, if you pass newdata = my_tibble to an augment() method that does not accept a newdata argument, it will use the default value for the data argument.

See also

Value

A tibble::tibble() with columns:

contrast

Levels being compared.

estimate

The estimated value of the regression term.

null.value

Value to which the estimate is compared.

Examples

library(multcomp) library(ggplot2) amod <- aov(breaks ~ wool + tension, data = warpbreaks) wht <- glht(amod, linfct = mcp(tension = "Tukey")) tidy(wht)
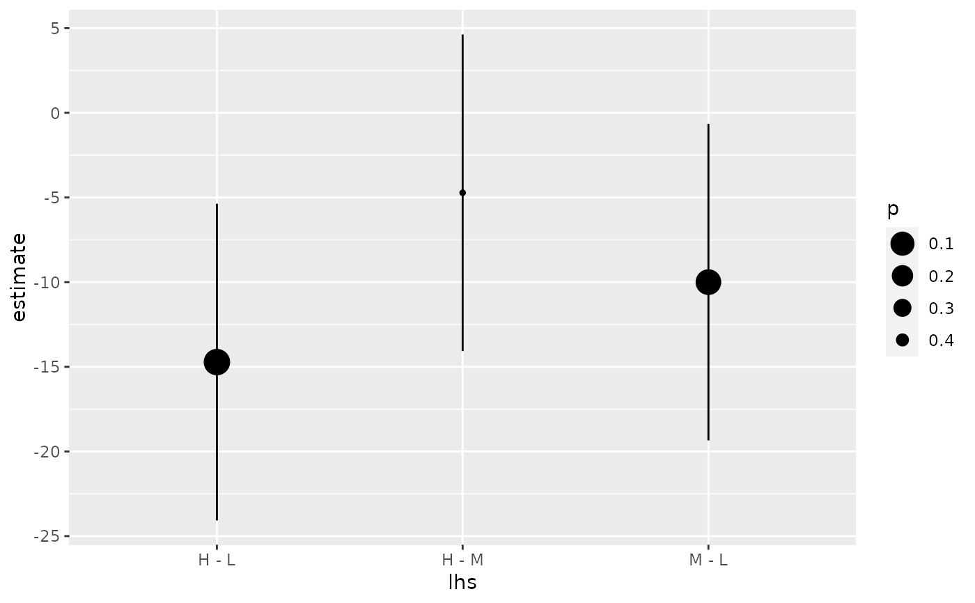
#> # A tibble: 3 x 7 #> term contrast null.value estimate std.error statistic adj.p.value #> <chr> <chr> <dbl> <dbl> <dbl> <dbl> <dbl> #> 1 tension M - L 0 -10. 3.87 -2.58 0.0336 #> 2 tension H - L 0 -14.7 3.87 -3.80 0.00110 #> 3 tension H - M 0 -4.72 3.87 -1.22 0.447
ggplot(wht, aes(lhs, estimate)) + geom_point()
CI <- confint(wht) tidy(CI)
#> # A tibble: 3 x 5 #> term contrast estimate conf.low conf.high #> <chr> <chr> <dbl> <dbl> <dbl> #> 1 tension M - L -10. -19.3 -0.651 #> 2 tension H - L -14.7 -24.1 -5.37 #> 3 tension H - M -4.72 -14.1 4.63
ggplot(CI, aes(lhs, estimate, ymin = lwr, ymax = upr)) + geom_pointrange()
tidy(summary(wht))
#> # A tibble: 3 x 7 #> term contrast null.value estimate std.error statistic adj.p.value #> <chr> <chr> <dbl> <dbl> <dbl> <dbl> <dbl> #> 1 tension M - L 0 -10. 3.87 -2.58 0.0336 #> 2 tension H - L 0 -14.7 3.87 -3.80 0.00110 #> 3 tension H - M 0 -4.72 3.87 -1.22 0.447
ggplot(mapping = aes(lhs, estimate)) + geom_linerange(aes(ymin = lwr, ymax = upr), data = CI) + geom_point(aes(size = p), data = summary(wht)) + scale_size(trans = "reverse")
cld <- cld(wht) tidy(cld)
#> # A tibble: 3 x 2 #> tension letters #> <chr> <chr> #> 1 L b #> 2 M a #> 3 H a