Tidy summarizes information about the components of a model. A model component might be a single term in a regression, a single hypothesis, a cluster, or a class. Exactly what tidy considers to be a model component varies across models but is usually self-evident. If a model has several distinct types of components, you will need to specify which components to return.

# S3 method for summary.glht
tidy(x, ...)

Arguments

x

A summary.glht object created by calling multcomp::summary.glht() on a glht object created with multcomp::glht().

...

Additional arguments. Not used. Needed to match generic signature only. Cautionary note: Misspelled arguments will be absorbed in ..., where they will be ignored. If the misspelled argument has a default value, the default value will be used. For example, if you pass conf.lvel = 0.9, all computation will proceed using conf.level = 0.95. Additionally, if you pass newdata = my_tibble to an augment() method that does not accept a newdata argument, it will use the default value for the data argument.

See also

Value

A tibble::tibble() with columns:

contrast

Levels being compared.

estimate

The estimated value of the regression term.

null.value

Value to which the estimate is compared.

p.value

The two-sided p-value associated with the observed statistic.

statistic

The value of a T-statistic to use in a hypothesis that the regression term is non-zero.

std.error

The standard error of the regression term.

Examples

library(multcomp) library(ggplot2) amod <- aov(breaks ~ wool + tension, data = warpbreaks) wht <- glht(amod, linfct = mcp(tension = "Tukey")) tidy(wht)
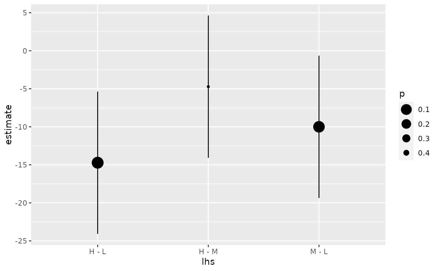
#> # A tibble: 3 x 7 #> term contrast null.value estimate std.error statistic adj.p.value #> <chr> <chr> <dbl> <dbl> <dbl> <dbl> <dbl> #> 1 tension M - L 0 -10 3.87 -2.58 0.0335 #> 2 tension H - L 0 -14.7 3.87 -3.80 0.00109 #> 3 tension H - M 0 -4.72 3.87 -1.22 0.447
ggplot(wht, aes(lhs, estimate)) + geom_point()
CI <- confint(wht) tidy(CI)
#> # A tibble: 3 x 5 #> term contrast estimate conf.low conf.high #> <chr> <chr> <dbl> <dbl> <dbl> #> 1 tension M - L -10 -19.4 -0.644 #> 2 tension H - L -14.7 -24.1 -5.37 #> 3 tension H - M -4.72 -14.1 4.63
ggplot(CI, aes(lhs, estimate, ymin = lwr, ymax = upr)) + geom_pointrange()
tidy(summary(wht))
#> # A tibble: 3 x 7 #> term contrast null.value estimate std.error statistic adj.p.value #> <chr> <chr> <dbl> <dbl> <dbl> <dbl> <dbl> #> 1 tension M - L 0 -10 3.87 -2.58 0.0337 #> 2 tension H - L 0 -14.7 3.87 -3.80 0.00119 #> 3 tension H - M 0 -4.72 3.87 -1.22 0.447
ggplot(mapping = aes(lhs, estimate)) + geom_linerange(aes(ymin = lwr, ymax = upr), data = CI) + geom_point(aes(size = p), data = summary(wht)) + scale_size(trans = "reverse")
cld <- cld(wht) tidy(cld)
#> # A tibble: 3 x 2 #> tension letters #> <chr> <chr> #> 1 L b #> 2 M a #> 3 H a