Tidy summarizes information about the components of a model. A model component might be a single term in a regression, a single hypothesis, a cluster, or a class. Exactly what tidy considers to be a model component varies across models but is usually self-evident. If a model has several distinct types of components, you will need to specify which components to return.

# S3 method for survreg
tidy(x, conf.level = 0.95, conf.int = FALSE, ...)

Arguments

x

An survreg object returned from survival::survreg().

conf.level

The confidence level to use for the confidence interval if conf.int = TRUE. Must be strictly greater than 0 and less than 1. Defaults to 0.95, which corresponds to a 95 percent confidence interval.

conf.int

Logical indicating whether or not to include a confidence interval in the tidied output. Defaults to FALSE.

...

Additional arguments. Not used. Needed to match generic signature only. Cautionary note: Misspelled arguments will be absorbed in ..., where they will be ignored. If the misspelled argument has a default value, the default value will be used. For example, if you pass conf.lvel = 0.9, all computation will proceed using conf.level = 0.95. Additionally, if you pass newdata = my_tibble to an augment() method that does not accept a newdata argument, it will use the default value for the data argument.

See also

Value

A tibble::tibble() with columns:

conf.high

Upper bound on the confidence interval for the estimate.

conf.low

Lower bound on the confidence interval for the estimate.

estimate

The estimated value of the regression term.

p.value

The two-sided p-value associated with the observed statistic.

statistic

The value of a T-statistic to use in a hypothesis that the regression term is non-zero.

std.error

The standard error of the regression term.

term

The name of the regression term.

Examples

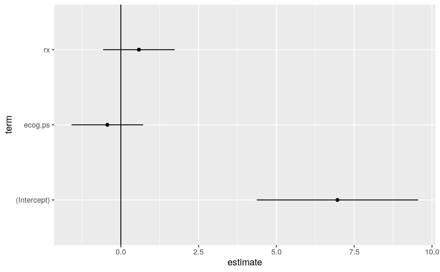
library(survival) sr <- survreg( Surv(futime, fustat) ~ ecog.ps + rx, ovarian, dist = "exponential" ) tidy(sr)
#> # A tibble: 3 x 5 #> term estimate std.error statistic p.value #> <chr> <dbl> <dbl> <dbl> <dbl> #> 1 (Intercept) 6.96 1.32 5.27 0.000000139 #> 2 ecog.ps -0.433 0.587 -0.738 0.461 #> 3 rx 0.582 0.587 0.991 0.322
augment(sr, ovarian)
#> # A tibble: 26 x 9 #> futime fustat age resid.ds rx ecog.ps .fitted .se.fit .resid #> <dbl> <dbl> <dbl> <dbl> <dbl> <dbl> <dbl> <dbl> <dbl> #> 1 59 1 72.3 2 1 1 1224. 639. -1165. #> 2 115 1 74.5 2 1 1 1224. 639. -1109. #> 3 156 1 66.5 2 1 2 794. 350. -638. #> 4 421 0 53.4 2 2 1 2190. 1202. -1769. #> 5 431 1 50.3 2 1 1 1224. 639. -793. #> 6 448 0 56.4 1 1 2 794. 350. -346. #> 7 464 1 56.9 2 2 2 1420. 741. -956. #> 8 475 1 59.9 2 2 2 1420. 741. -945. #> 9 477 0 64.2 2 1 1 1224. 639. -747. #> 10 563 1 55.2 1 2 2 1420. 741. -857. #> # … with 16 more rows
glance(sr)
#> # A tibble: 1 x 9 #> iter df statistic logLik AIC BIC df.residual nobs p.value #> <int> <int> <dbl> <dbl> <dbl> <dbl> <int> <int> <dbl> #> 1 4 3 1.67 -97.2 200. 204. 23 26 0.434
# coefficient plot td <- tidy(sr, conf.int = TRUE) library(ggplot2) ggplot(td, aes(estimate, term)) + geom_point() + geom_errorbarh(aes(xmin = conf.low, xmax = conf.high), height = 0) + geom_vline(xintercept = 0)