Glance accepts a model object and returns a tibble::tibble() with exactly one row of model summaries. The summaries are typically goodness of fit measures, p-values for hypothesis tests on residuals, or model convergence information.

Glance never returns information from the original call to the modeling function. This includes the name of the modeling function or any arguments passed to the modeling function.

Glance does not calculate summary measures. Rather, it farms out these computations to appropriate methods and gathers the results together. Sometimes a goodness of fit measure will be undefined. In these cases the measure will be reported as NA.

Glance returns the same number of columns regardless of whether the model matrix is rank-deficient or not. If so, entries in columns that no longer have a well-defined value are filled in with an NA of the appropriate type.

# S3 method for gmm
glance(x, ...)

Arguments

x

A gmm object returned from gmm::gmm().

...

Additional arguments. Not used. Needed to match generic signature only. Cautionary note: Misspelled arguments will be absorbed in ..., where they will be ignored. If the misspelled argument has a default value, the default value will be used. For example, if you pass conf.level = 0.9, all computation will proceed using conf.level = 0.95. Additionally, if you pass newdata = my_tibble to an augment() method that does not accept a newdata argument, it will use the default value for the data argument.

See also

glance(), gmm::gmm()

Other gmm tidiers: tidy.gmm()

Value

A tibble::tibble() with exactly one row and columns:

df

Degrees of freedom used by the model.

df.residual

Residual degrees of freedom.

nobs

Number of observations used.

p.value

P-value corresponding to the test statistic.

statistic

Test statistic.

Examples

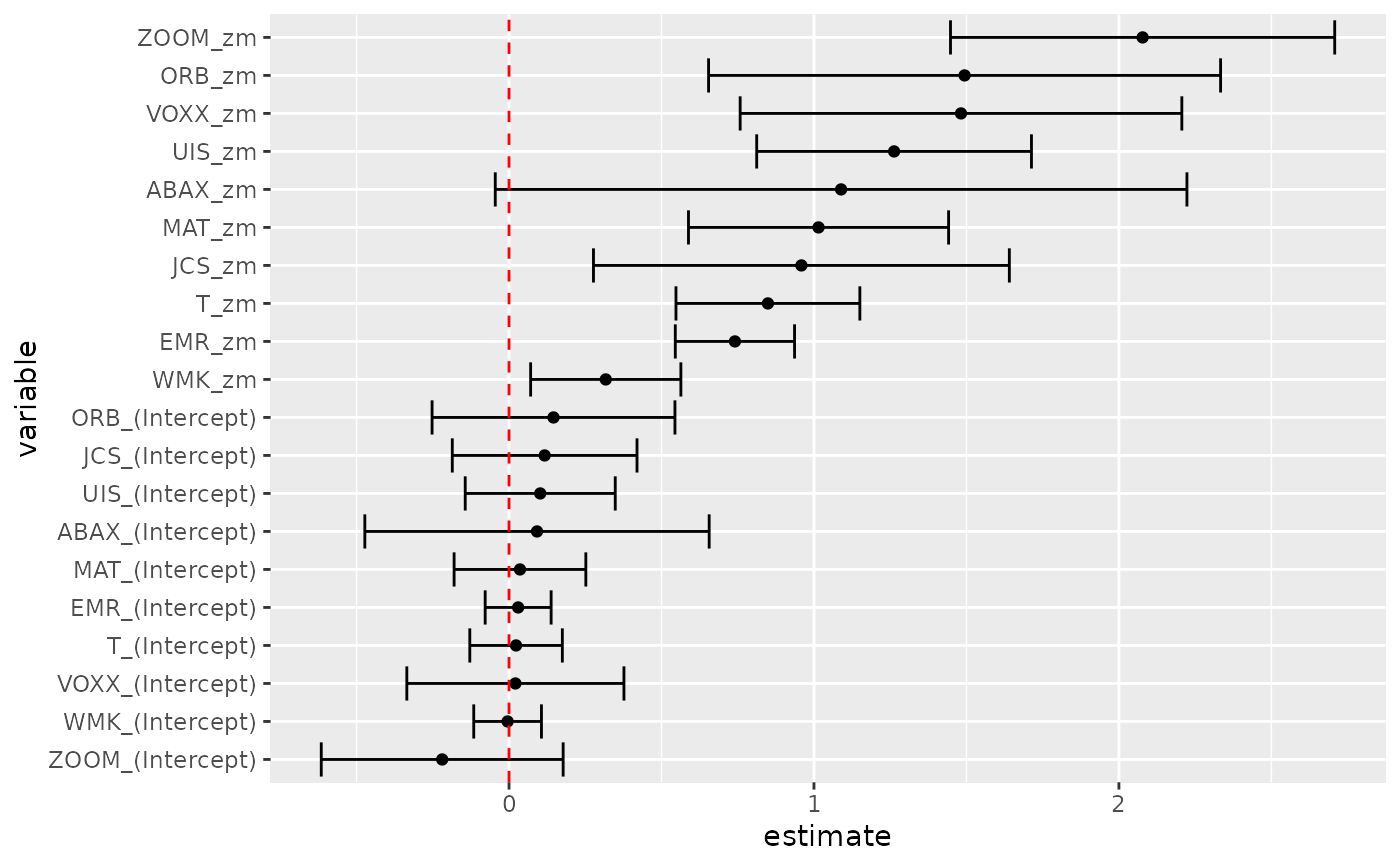
library(gmm) # examples come from the "gmm" package ## CAPM test with GMM data(Finance) r <- Finance[1:300, 1:10] rm <- Finance[1:300, "rm"] rf <- Finance[1:300, "rf"] z <- as.matrix(r - rf) t <- nrow(z) zm <- rm - rf h <- matrix(zm, t, 1) res <- gmm(z ~ zm, x = h) # tidy result tidy(res)
#> # A tibble: 20 x 5 #> term estimate std.error statistic p.value #> <chr> <dbl> <dbl> <dbl> <dbl> #> 1 WMK_(Intercept) -0.00467 0.0566 -0.0824 9.34e- 1 #> 2 UIS_(Intercept) 0.102 0.126 0.816 4.15e- 1 #> 3 ORB_(Intercept) 0.146 0.203 0.718 4.73e- 1 #> 4 MAT_(Intercept) 0.0359 0.110 0.326 7.45e- 1 #> 5 ABAX_(Intercept) 0.0917 0.288 0.318 7.50e- 1 #> 6 T_(Intercept) 0.0231 0.0774 0.298 7.65e- 1 #> 7 EMR_(Intercept) 0.0299 0.0552 0.542 5.88e- 1 #> 8 JCS_(Intercept) 0.117 0.155 0.756 4.50e- 1 #> 9 VOXX_(Intercept) 0.0209 0.182 0.115 9.09e- 1 #> 10 ZOOM_(Intercept) -0.219 0.202 -1.08 2.79e- 1 #> 11 WMK_zm 0.317 0.126 2.52 1.16e- 2 #> 12 UIS_zm 1.26 0.230 5.49 3.94e- 8 #> 13 ORB_zm 1.49 0.428 3.49 4.87e- 4 #> 14 MAT_zm 1.01 0.218 4.66 3.09e- 6 #> 15 ABAX_zm 1.09 0.579 1.88 5.98e- 2 #> 16 T_zm 0.849 0.154 5.52 3.41e- 8 #> 17 EMR_zm 0.741 0.0998 7.43 1.13e-13 #> 18 JCS_zm 0.959 0.348 2.76 5.85e- 3 #> 19 VOXX_zm 1.48 0.369 4.01 6.04e- 5 #> 20 ZOOM_zm 2.08 0.321 6.46 1.02e-10
tidy(res, conf.int = TRUE)
#> # A tibble: 20 x 7 #> term estimate std.error statistic p.value conf.low conf.high #> <chr> <dbl> <dbl> <dbl> <dbl> <dbl> <dbl> #> 1 WMK_(Intercept) -0.00467 0.0566 -0.0824 9.34e- 1 -0.116 0.106 #> 2 UIS_(Intercept) 0.102 0.126 0.816 4.15e- 1 -0.144 0.348 #> 3 ORB_(Intercept) 0.146 0.203 0.718 4.73e- 1 -0.252 0.544 #> 4 MAT_(Intercept) 0.0359 0.110 0.326 7.45e- 1 -0.180 0.252 #> 5 ABAX_(Intercept) 0.0917 0.288 0.318 7.50e- 1 -0.473 0.656 #> 6 T_(Intercept) 0.0231 0.0774 0.298 7.65e- 1 -0.129 0.175 #> 7 EMR_(Intercept) 0.0299 0.0552 0.542 5.88e- 1 -0.0782 0.138 #> 8 JCS_(Intercept) 0.117 0.155 0.756 4.50e- 1 -0.186 0.420 #> 9 VOXX_(Intercept) 0.0209 0.182 0.115 9.09e- 1 -0.335 0.377 #> 10 ZOOM_(Intercept) -0.219 0.202 -1.08 2.79e- 1 -0.616 0.177 #> 11 WMK_zm 0.317 0.126 2.52 1.16e- 2 0.0708 0.564 #> 12 UIS_zm 1.26 0.230 5.49 3.94e- 8 0.812 1.71 #> 13 ORB_zm 1.49 0.428 3.49 4.87e- 4 0.654 2.33 #> 14 MAT_zm 1.01 0.218 4.66 3.09e- 6 0.588 1.44 #> 15 ABAX_zm 1.09 0.579 1.88 5.98e- 2 -0.0451 2.22 #> 16 T_zm 0.849 0.154 5.52 3.41e- 8 0.547 1.15 #> 17 EMR_zm 0.741 0.0998 7.43 1.13e-13 0.545 0.936 #> 18 JCS_zm 0.959 0.348 2.76 5.85e- 3 0.277 1.64 #> 19 VOXX_zm 1.48 0.369 4.01 6.04e- 5 0.758 2.21 #> 20 ZOOM_zm 2.08 0.321 6.46 1.02e-10 1.45 2.71
tidy(res, conf.int = TRUE, conf.level = .99)
#> # A tibble: 20 x 7 #> term estimate std.error statistic p.value conf.low conf.high #> <chr> <dbl> <dbl> <dbl> <dbl> <dbl> <dbl> #> 1 WMK_(Intercept) -0.00467 0.0566 -0.0824 9.34e- 1 -0.151 0.141 #> 2 UIS_(Intercept) 0.102 0.126 0.816 4.15e- 1 -0.221 0.426 #> 3 ORB_(Intercept) 0.146 0.203 0.718 4.73e- 1 -0.377 0.669 #> 4 MAT_(Intercept) 0.0359 0.110 0.326 7.45e- 1 -0.248 0.320 #> 5 ABAX_(Intercept) 0.0917 0.288 0.318 7.50e- 1 -0.650 0.834 #> 6 T_(Intercept) 0.0231 0.0774 0.298 7.65e- 1 -0.176 0.223 #> 7 EMR_(Intercept) 0.0299 0.0552 0.542 5.88e- 1 -0.112 0.172 #> 8 JCS_(Intercept) 0.117 0.155 0.756 4.50e- 1 -0.281 0.515 #> 9 VOXX_(Intercept) 0.0209 0.182 0.115 9.09e- 1 -0.447 0.489 #> 10 ZOOM_(Intercept) -0.219 0.202 -1.08 2.79e- 1 -0.740 0.302 #> 11 WMK_zm 0.317 0.126 2.52 1.16e- 2 -0.00656 0.641 #> 12 UIS_zm 1.26 0.230 5.49 3.94e- 8 0.671 1.85 #> 13 ORB_zm 1.49 0.428 3.49 4.87e- 4 0.391 2.60 #> 14 MAT_zm 1.01 0.218 4.66 3.09e- 6 0.454 1.58 #> 15 ABAX_zm 1.09 0.579 1.88 5.98e- 2 -0.401 2.58 #> 16 T_zm 0.849 0.154 5.52 3.41e- 8 0.453 1.25 #> 17 EMR_zm 0.741 0.0998 7.43 1.13e-13 0.484 0.998 #> 18 JCS_zm 0.959 0.348 2.76 5.85e- 3 0.0627 1.85 #> 19 VOXX_zm 1.48 0.369 4.01 6.04e- 5 0.530 2.43 #> 20 ZOOM_zm 2.08 0.321 6.46 1.02e-10 1.25 2.91
# coefficient plot library(ggplot2) library(dplyr) tidy(res, conf.int = TRUE) %>% mutate(variable = reorder(term, estimate)) %>% ggplot(aes(estimate, variable)) + geom_point() + geom_errorbarh(aes(xmin = conf.low, xmax = conf.high)) + geom_vline(xintercept = 0, color = "red", lty = 2)
# from a function instead of a matrix g <- function(theta, x) { e <- x[, 2:11] - theta[1] - (x[, 1] - theta[1]) %*% matrix(theta[2:11], 1, 10) gmat <- cbind(e, e * c(x[, 1])) return(gmat) } x <- as.matrix(cbind(rm, r)) res_black <- gmm(g, x = x, t0 = rep(0, 11)) tidy(res_black)
#> # A tibble: 11 x 5 #> term estimate std.error statistic p.value #> <chr> <dbl> <dbl> <dbl> <dbl> #> 1 Theta[1] 0.516 0.172 3.00 2.72e- 3 #> 2 Theta[2] 1.12 0.116 9.65 5.02e-22 #> 3 Theta[3] 0.680 0.197 3.45 5.65e- 4 #> 4 Theta[4] -0.0322 0.424 -0.0761 9.39e- 1 #> 5 Theta[5] 0.850 0.155 5.49 4.05e- 8 #> 6 Theta[6] -0.205 0.479 -0.429 6.68e- 1 #> 7 Theta[7] 0.625 0.122 5.14 2.73e- 7 #> 8 Theta[8] 1.05 0.0687 15.3 5.03e-53 #> 9 Theta[9] 0.640 0.233 2.75 5.92e- 3 #> 10 Theta[10] 0.596 0.295 2.02 4.36e- 2 #> 11 Theta[11] 1.16 0.240 4.82 1.45e- 6
tidy(res_black, conf.int = TRUE)
#> # A tibble: 11 x 7 #> term estimate std.error statistic p.value conf.low conf.high #> <chr> <dbl> <dbl> <dbl> <dbl> <dbl> <dbl> #> 1 Theta[1] 0.516 0.172 3.00 2.72e- 3 0.178 0.853 #> 2 Theta[2] 1.12 0.116 9.65 5.02e-22 0.889 1.34 #> 3 Theta[3] 0.680 0.197 3.45 5.65e- 4 0.293 1.07 #> 4 Theta[4] -0.0322 0.424 -0.0761 9.39e- 1 -0.862 0.798 #> 5 Theta[5] 0.850 0.155 5.49 4.05e- 8 0.546 1.15 #> 6 Theta[6] -0.205 0.479 -0.429 6.68e- 1 -1.14 0.733 #> 7 Theta[7] 0.625 0.122 5.14 2.73e- 7 0.387 0.864 #> 8 Theta[8] 1.05 0.0687 15.3 5.03e-53 0.919 1.19 #> 9 Theta[9] 0.640 0.233 2.75 5.92e- 3 0.184 1.10 #> 10 Theta[10] 0.596 0.295 2.02 4.36e- 2 0.0171 1.17 #> 11 Theta[11] 1.16 0.240 4.82 1.45e- 6 0.686 1.63
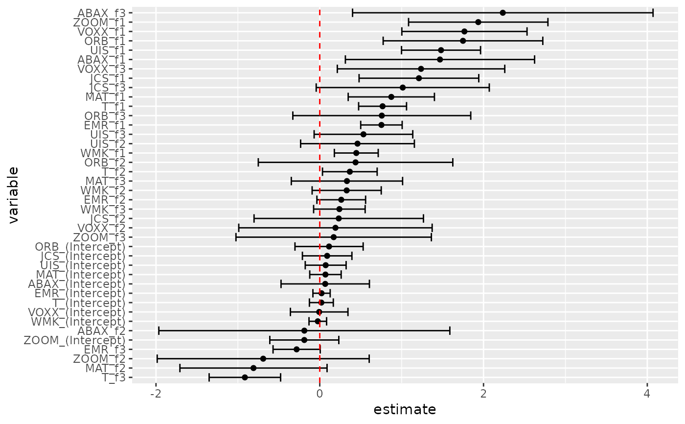
## APT test with Fama-French factors and GMM f1 <- zm f2 <- Finance[1:300, "hml"] - rf f3 <- Finance[1:300, "smb"] - rf h <- cbind(f1, f2, f3) res2 <- gmm(z ~ f1 + f2 + f3, x = h) td2 <- tidy(res2, conf.int = TRUE) td2
#> # A tibble: 40 x 7 #> term estimate std.error statistic p.value conf.low conf.high #> <chr> <dbl> <dbl> <dbl> <dbl> <dbl> <dbl> #> 1 WMK_(Intercept) -0.0240 0.0548 -0.438 0.662 -0.131 0.0834 #> 2 UIS_(Intercept) 0.0723 0.127 0.567 0.570 -0.177 0.322 #> 3 ORB_(Intercept) 0.114 0.212 0.534 0.593 -0.303 0.530 #> 4 MAT_(Intercept) 0.0694 0.0979 0.709 0.478 -0.122 0.261 #> 5 ABAX_(Intercept) 0.0668 0.275 0.242 0.808 -0.473 0.606 #> 6 T_(Intercept) 0.0195 0.0745 0.262 0.793 -0.126 0.165 #> 7 EMR_(Intercept) 0.0217 0.0538 0.404 0.687 -0.0837 0.127 #> 8 JCS_(Intercept) 0.0904 0.154 0.586 0.558 -0.212 0.393 #> 9 VOXX_(Intercept) -0.00706 0.179 -0.0394 0.969 -0.359 0.344 #> 10 ZOOM_(Intercept) -0.189 0.215 -0.878 0.380 -0.610 0.233 #> # … with 30 more rows
# coefficient plot td2 %>% mutate(variable = reorder(term, estimate)) %>% ggplot(aes(estimate, variable)) + geom_point() + geom_errorbarh(aes(xmin = conf.low, xmax = conf.high)) + geom_vline(xintercept = 0, color = "red", lty = 2)