Tidy summarizes information about the components of a model. A model component might be a single term in a regression, a single hypothesis, a cluster, or a class. Exactly what tidy considers to be a model component varies across models but is usually self-evident. If a model has several distinct types of components, you will need to specify which components to return.

# S3 method for gmm
tidy(x, conf.int = FALSE, conf.level = 0.95, exponentiate = FALSE, ...)

Arguments

x

A gmm object returned from gmm::gmm().

conf.int

Logical indicating whether or not to include a confidence interval in the tidied output. Defaults to FALSE.

conf.level

The confidence level to use for the confidence interval if conf.int = TRUE. Must be strictly greater than 0 and less than 1. Defaults to 0.95, which corresponds to a 95 percent confidence interval.

exponentiate

Logical indicating whether or not to exponentiate the the coefficient estimates. This is typical for logistic and multinomial regressions, but a bad idea if there is no log or logit link. Defaults to FALSE.

...

Additional arguments. Not used. Needed to match generic signature only. Cautionary note: Misspelled arguments will be absorbed in ..., where they will be ignored. If the misspelled argument has a default value, the default value will be used. For example, if you pass conf.level = 0.9, all computation will proceed using conf.level = 0.95. Additionally, if you pass newdata = my_tibble to an augment() method that does not accept a newdata argument, it will use the default value for the data argument.

See also

tidy(), gmm::gmm()

Other gmm tidiers: glance.gmm()

Value

A tibble::tibble() with columns:

conf.high

Upper bound on the confidence interval for the estimate.

conf.low

Lower bound on the confidence interval for the estimate.

estimate

The estimated value of the regression term.

p.value

The two-sided p-value associated with the observed statistic.

statistic

The value of a T-statistic to use in a hypothesis that the regression term is non-zero.

std.error

The standard error of the regression term.

term

The name of the regression term.

Examples

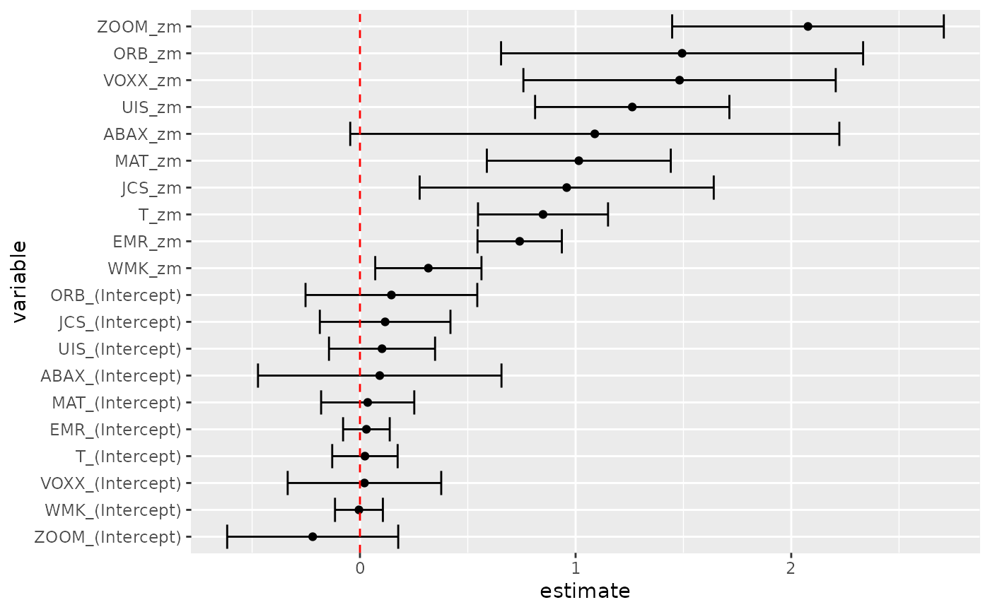
library(gmm) # examples come from the "gmm" package ## CAPM test with GMM data(Finance) r <- Finance[1:300, 1:10] rm <- Finance[1:300, "rm"] rf <- Finance[1:300, "rf"] z <- as.matrix(r - rf) t <- nrow(z) zm <- rm - rf h <- matrix(zm, t, 1) res <- gmm(z ~ zm, x = h) # tidy result tidy(res)
#> # A tibble: 20 x 5 #> term estimate std.error statistic p.value #> <chr> <dbl> <dbl> <dbl> <dbl> #> 1 WMK_(Intercept) -0.00467 0.0566 -0.0824 9.34e- 1 #> 2 UIS_(Intercept) 0.102 0.126 0.816 4.15e- 1 #> 3 ORB_(Intercept) 0.146 0.203 0.718 4.73e- 1 #> 4 MAT_(Intercept) 0.0359 0.110 0.326 7.45e- 1 #> 5 ABAX_(Intercept) 0.0917 0.288 0.318 7.50e- 1 #> 6 T_(Intercept) 0.0231 0.0774 0.298 7.65e- 1 #> 7 EMR_(Intercept) 0.0299 0.0552 0.542 5.88e- 1 #> 8 JCS_(Intercept) 0.117 0.155 0.756 4.50e- 1 #> 9 VOXX_(Intercept) 0.0209 0.182 0.115 9.09e- 1 #> 10 ZOOM_(Intercept) -0.219 0.202 -1.08 2.79e- 1 #> 11 WMK_zm 0.317 0.126 2.52 1.16e- 2 #> 12 UIS_zm 1.26 0.230 5.49 3.94e- 8 #> 13 ORB_zm 1.49 0.428 3.49 4.87e- 4 #> 14 MAT_zm 1.01 0.218 4.66 3.09e- 6 #> 15 ABAX_zm 1.09 0.579 1.88 5.98e- 2 #> 16 T_zm 0.849 0.154 5.52 3.41e- 8 #> 17 EMR_zm 0.741 0.0998 7.43 1.13e-13 #> 18 JCS_zm 0.959 0.348 2.76 5.85e- 3 #> 19 VOXX_zm 1.48 0.369 4.01 6.04e- 5 #> 20 ZOOM_zm 2.08 0.321 6.46 1.02e-10
tidy(res, conf.int = TRUE)
#> # A tibble: 20 x 7 #> term estimate std.error statistic p.value conf.low conf.high #> <chr> <dbl> <dbl> <dbl> <dbl> <dbl> <dbl> #> 1 WMK_(Intercept) -0.00467 0.0566 -0.0824 9.34e- 1 -0.116 0.106 #> 2 UIS_(Intercept) 0.102 0.126 0.816 4.15e- 1 -0.144 0.348 #> 3 ORB_(Intercept) 0.146 0.203 0.718 4.73e- 1 -0.252 0.544 #> 4 MAT_(Intercept) 0.0359 0.110 0.326 7.45e- 1 -0.180 0.252 #> 5 ABAX_(Intercept) 0.0917 0.288 0.318 7.50e- 1 -0.473 0.656 #> 6 T_(Intercept) 0.0231 0.0774 0.298 7.65e- 1 -0.129 0.175 #> 7 EMR_(Intercept) 0.0299 0.0552 0.542 5.88e- 1 -0.0782 0.138 #> 8 JCS_(Intercept) 0.117 0.155 0.756 4.50e- 1 -0.186 0.420 #> 9 VOXX_(Intercept) 0.0209 0.182 0.115 9.09e- 1 -0.335 0.377 #> 10 ZOOM_(Intercept) -0.219 0.202 -1.08 2.79e- 1 -0.616 0.177 #> 11 WMK_zm 0.317 0.126 2.52 1.16e- 2 0.0708 0.564 #> 12 UIS_zm 1.26 0.230 5.49 3.94e- 8 0.812 1.71 #> 13 ORB_zm 1.49 0.428 3.49 4.87e- 4 0.654 2.33 #> 14 MAT_zm 1.01 0.218 4.66 3.09e- 6 0.588 1.44 #> 15 ABAX_zm 1.09 0.579 1.88 5.98e- 2 -0.0451 2.22 #> 16 T_zm 0.849 0.154 5.52 3.41e- 8 0.547 1.15 #> 17 EMR_zm 0.741 0.0998 7.43 1.13e-13 0.545 0.936 #> 18 JCS_zm 0.959 0.348 2.76 5.85e- 3 0.277 1.64 #> 19 VOXX_zm 1.48 0.369 4.01 6.04e- 5 0.758 2.21 #> 20 ZOOM_zm 2.08 0.321 6.46 1.02e-10 1.45 2.71
tidy(res, conf.int = TRUE, conf.level = .99)
#> # A tibble: 20 x 7 #> term estimate std.error statistic p.value conf.low conf.high #> <chr> <dbl> <dbl> <dbl> <dbl> <dbl> <dbl> #> 1 WMK_(Intercept) -0.00467 0.0566 -0.0824 9.34e- 1 -0.151 0.141 #> 2 UIS_(Intercept) 0.102 0.126 0.816 4.15e- 1 -0.221 0.426 #> 3 ORB_(Intercept) 0.146 0.203 0.718 4.73e- 1 -0.377 0.669 #> 4 MAT_(Intercept) 0.0359 0.110 0.326 7.45e- 1 -0.248 0.320 #> 5 ABAX_(Intercept) 0.0917 0.288 0.318 7.50e- 1 -0.650 0.834 #> 6 T_(Intercept) 0.0231 0.0774 0.298 7.65e- 1 -0.176 0.223 #> 7 EMR_(Intercept) 0.0299 0.0552 0.542 5.88e- 1 -0.112 0.172 #> 8 JCS_(Intercept) 0.117 0.155 0.756 4.50e- 1 -0.281 0.515 #> 9 VOXX_(Intercept) 0.0209 0.182 0.115 9.09e- 1 -0.447 0.489 #> 10 ZOOM_(Intercept) -0.219 0.202 -1.08 2.79e- 1 -0.740 0.302 #> 11 WMK_zm 0.317 0.126 2.52 1.16e- 2 -0.00656 0.641 #> 12 UIS_zm 1.26 0.230 5.49 3.94e- 8 0.671 1.85 #> 13 ORB_zm 1.49 0.428 3.49 4.87e- 4 0.391 2.60 #> 14 MAT_zm 1.01 0.218 4.66 3.09e- 6 0.454 1.58 #> 15 ABAX_zm 1.09 0.579 1.88 5.98e- 2 -0.401 2.58 #> 16 T_zm 0.849 0.154 5.52 3.41e- 8 0.453 1.25 #> 17 EMR_zm 0.741 0.0998 7.43 1.13e-13 0.484 0.998 #> 18 JCS_zm 0.959 0.348 2.76 5.85e- 3 0.0627 1.85 #> 19 VOXX_zm 1.48 0.369 4.01 6.04e- 5 0.530 2.43 #> 20 ZOOM_zm 2.08 0.321 6.46 1.02e-10 1.25 2.91
# coefficient plot library(ggplot2) library(dplyr) tidy(res, conf.int = TRUE) %>% mutate(variable = reorder(term, estimate)) %>% ggplot(aes(estimate, variable)) + geom_point() + geom_errorbarh(aes(xmin = conf.low, xmax = conf.high)) + geom_vline(xintercept = 0, color = "red", lty = 2)
# from a function instead of a matrix g <- function(theta, x) { e <- x[, 2:11] - theta[1] - (x[, 1] - theta[1]) %*% matrix(theta[2:11], 1, 10) gmat <- cbind(e, e * c(x[, 1])) return(gmat) } x <- as.matrix(cbind(rm, r)) res_black <- gmm(g, x = x, t0 = rep(0, 11)) tidy(res_black)
#> # A tibble: 11 x 5 #> term estimate std.error statistic p.value #> <chr> <dbl> <dbl> <dbl> <dbl> #> 1 Theta[1] 0.516 0.172 3.00 2.72e- 3 #> 2 Theta[2] 1.12 0.116 9.65 5.02e-22 #> 3 Theta[3] 0.680 0.197 3.45 5.65e- 4 #> 4 Theta[4] -0.0322 0.424 -0.0761 9.39e- 1 #> 5 Theta[5] 0.850 0.155 5.49 4.05e- 8 #> 6 Theta[6] -0.205 0.479 -0.429 6.68e- 1 #> 7 Theta[7] 0.625 0.122 5.14 2.73e- 7 #> 8 Theta[8] 1.05 0.0687 15.3 5.03e-53 #> 9 Theta[9] 0.640 0.233 2.75 5.92e- 3 #> 10 Theta[10] 0.596 0.295 2.02 4.36e- 2 #> 11 Theta[11] 1.16 0.240 4.82 1.45e- 6
tidy(res_black, conf.int = TRUE)
#> # A tibble: 11 x 7 #> term estimate std.error statistic p.value conf.low conf.high #> <chr> <dbl> <dbl> <dbl> <dbl> <dbl> <dbl> #> 1 Theta[1] 0.516 0.172 3.00 2.72e- 3 0.178 0.853 #> 2 Theta[2] 1.12 0.116 9.65 5.02e-22 0.889 1.34 #> 3 Theta[3] 0.680 0.197 3.45 5.65e- 4 0.293 1.07 #> 4 Theta[4] -0.0322 0.424 -0.0761 9.39e- 1 -0.862 0.798 #> 5 Theta[5] 0.850 0.155 5.49 4.05e- 8 0.546 1.15 #> 6 Theta[6] -0.205 0.479 -0.429 6.68e- 1 -1.14 0.733 #> 7 Theta[7] 0.625 0.122 5.14 2.73e- 7 0.387 0.864 #> 8 Theta[8] 1.05 0.0687 15.3 5.03e-53 0.919 1.19 #> 9 Theta[9] 0.640 0.233 2.75 5.92e- 3 0.184 1.10 #> 10 Theta[10] 0.596 0.295 2.02 4.36e- 2 0.0171 1.17 #> 11 Theta[11] 1.16 0.240 4.82 1.45e- 6 0.686 1.63
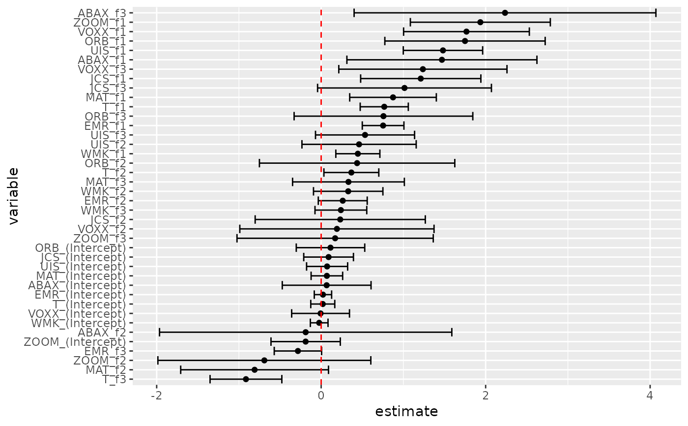
## APT test with Fama-French factors and GMM f1 <- zm f2 <- Finance[1:300, "hml"] - rf f3 <- Finance[1:300, "smb"] - rf h <- cbind(f1, f2, f3) res2 <- gmm(z ~ f1 + f2 + f3, x = h) td2 <- tidy(res2, conf.int = TRUE) td2
#> # A tibble: 40 x 7 #> term estimate std.error statistic p.value conf.low conf.high #> <chr> <dbl> <dbl> <dbl> <dbl> <dbl> <dbl> #> 1 WMK_(Intercept) -0.0240 0.0548 -0.438 0.662 -0.131 0.0834 #> 2 UIS_(Intercept) 0.0723 0.127 0.567 0.570 -0.177 0.322 #> 3 ORB_(Intercept) 0.114 0.212 0.534 0.593 -0.303 0.530 #> 4 MAT_(Intercept) 0.0694 0.0979 0.709 0.478 -0.122 0.261 #> 5 ABAX_(Intercept) 0.0668 0.275 0.242 0.808 -0.473 0.606 #> 6 T_(Intercept) 0.0195 0.0745 0.262 0.793 -0.126 0.165 #> 7 EMR_(Intercept) 0.0217 0.0538 0.404 0.687 -0.0837 0.127 #> 8 JCS_(Intercept) 0.0904 0.154 0.586 0.558 -0.212 0.393 #> 9 VOXX_(Intercept) -0.00706 0.179 -0.0394 0.969 -0.359 0.344 #> 10 ZOOM_(Intercept) -0.189 0.215 -0.878 0.380 -0.610 0.233 #> # … with 30 more rows
# coefficient plot td2 %>% mutate(variable = reorder(term, estimate)) %>% ggplot(aes(estimate, variable)) + geom_point() + geom_errorbarh(aes(xmin = conf.low, xmax = conf.high)) + geom_vline(xintercept = 0, color = "red", lty = 2)