R/survival-survreg-tidiers.R
augment.survreg.RdAugment accepts a model object and a dataset and adds
information about each observation in the dataset. Most commonly, this
includes predicted values in the .fitted column, residuals in the
.resid column, and standard errors for the fitted values in a .se.fit
column. New columns always begin with a . prefix to avoid overwriting
columns in the original dataset.
Users may pass data to augment via either the data argument or the
newdata argument. If the user passes data to the data argument,
it must be exactly the data that was used to fit the model
object. Pass datasets to newdata to augment data that was not used
during model fitting. This still requires that at least all predictor
variable columns used to fit the model are present. If the original outcome
variable used to fit the model is not included in newdata, then no
.resid column will be included in the output.
Augment will often behave differently depending on whether data or
newdata is given. This is because there is often information
associated with training observations (such as influences or related)
measures that is not meaningfully defined for new observations.
For convenience, many augment methods provide default data arguments,
so that augment(fit) will return the augmented training data. In these
cases, augment tries to reconstruct the original data based on the model
object with varying degrees of success.
The augmented dataset is always returned as a tibble::tibble with the
same number of rows as the passed dataset. This means that the
passed data must be coercible to a tibble. At this time, tibbles do not
support matrix-columns. This means you should not specify a matrix
of covariates in a model formula during the original model fitting
process, and that splines::ns(), stats::poly() and
survival::Surv() objects are not supported in input data. If you
encounter errors, try explicitly passing a tibble, or fitting the original
model on data in a tibble.
We are in the process of defining behaviors for models fit with various
na.action arguments, but make no guarantees about behavior when data is
missing at this time.
# S3 method for survreg
augment(
x,
data = NULL,
newdata = NULL,
type.predict = "response",
type.residuals = "response",
...
)An survreg object returned from survival::survreg().
A base::data.frame or tibble::tibble() containing the original
data that was used to produce the object x. Defaults to
stats::model.frame(x) so that augment(my_fit) returns the augmented
original data. Do not pass new data to the data argument.
Augment will report information such as influence and cooks distance for
data passed to the data argument. These measures are only defined for
the original training data.
A base::data.frame() or tibble::tibble() containing all
the original predictors used to create x. Defaults to NULL, indicating
that nothing has been passed to newdata. If newdata is specified,
the data argument will be ignored.
Character indicating type of prediction to use. Passed
to the type argument of the stats::predict() generic. Allowed arguments
vary with model class, so be sure to read the predict.my_class
documentation.
Character indicating type of residuals to use. Passed
to the type argument of stats::residuals() generic. Allowed arguments
vary with model class, so be sure to read the residuals.my_class
documentation.
Additional arguments. Not used. Needed to match generic
signature only. Cautionary note: Misspelled arguments will be
absorbed in ..., where they will be ignored. If the misspelled
argument has a default value, the default value will be used.
For example, if you pass conf.lvel = 0.9, all computation will
proceed using conf.level = 0.95. Additionally, if you pass
newdata = my_tibble to an augment() method that does not
accept a newdata argument, it will use the default value for
the data argument.
augment(), survival::survreg()
Other survreg tidiers:
glance.survreg(),
tidy.survreg()
Other survival tidiers:
augment.coxph(),
glance.aareg(),
glance.cch(),
glance.coxph(),
glance.pyears(),
glance.survdiff(),
glance.survexp(),
glance.survfit(),
glance.survreg(),
tidy.aareg(),
tidy.cch(),
tidy.coxph(),
tidy.pyears(),
tidy.survdiff(),
tidy.survexp(),
tidy.survfit(),
tidy.survreg()
A tibble::tibble() with columns:
Fitted or predicted value.
The difference between observed and fitted values.
Standard errors of fitted values.
# feel free to ignore the following line—it allows {broom} to supply
# examples without requiring the model-supplying package to be installed.
if (requireNamespace("survival", quietly = TRUE)) {
# load libraries for models and data
library(survival)
# fit model
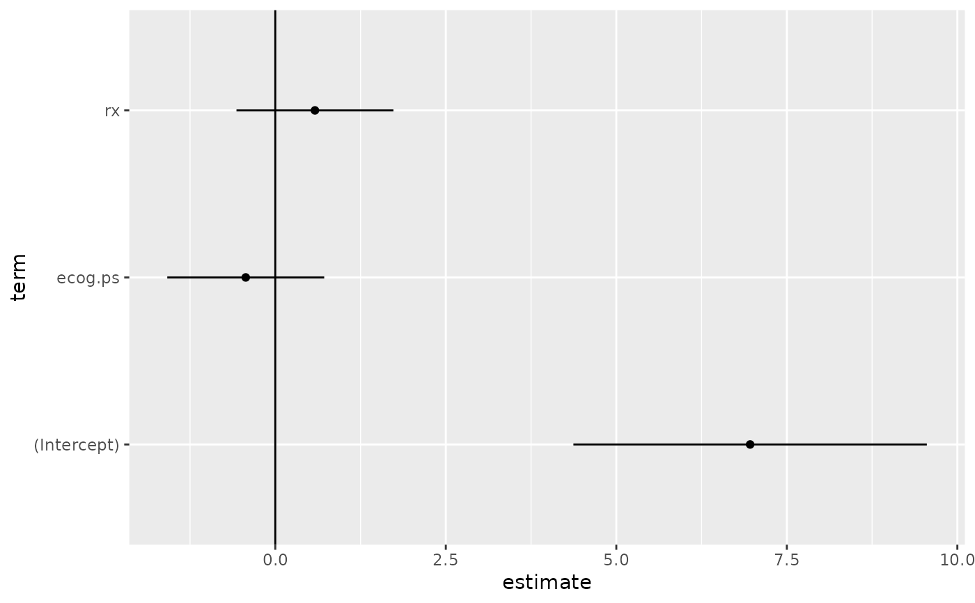
sr <- survreg(
Surv(futime, fustat) ~ ecog.ps + rx,
ovarian,
dist = "exponential"
)
# summarize model fit with tidiers + visualization
tidy(sr)
augment(sr, ovarian)
glance(sr)
# coefficient plot
td <- tidy(sr, conf.int = TRUE)
library(ggplot2)
ggplot(td, aes(estimate, term)) +
geom_point() +
geom_errorbarh(aes(xmin = conf.low, xmax = conf.high), height = 0) +
geom_vline(xintercept = 0)
}