Glance accepts a model object and returns a tibble::tibble()
with exactly one row of model summaries. The summaries are typically
goodness of fit measures, p-values for hypothesis tests on residuals,
or model convergence information.
Glance never returns information from the original call to the modeling function. This includes the name of the modeling function or any arguments passed to the modeling function.
Glance does not calculate summary measures. Rather, it farms out these
computations to appropriate methods and gathers the results together.
Sometimes a goodness of fit measure will be undefined. In these cases
the measure will be reported as NA.
Glance returns the same number of columns regardless of whether the
model matrix is rank-deficient or not. If so, entries in columns
that no longer have a well-defined value are filled in with an NA
of the appropriate type.
# S3 method for survreg
glance(x, ...)An survreg object returned from survival::survreg().
Additional arguments. Not used. Needed to match generic
signature only. Cautionary note: Misspelled arguments will be
absorbed in ..., where they will be ignored. If the misspelled
argument has a default value, the default value will be used.
For example, if you pass conf.lvel = 0.9, all computation will
proceed using conf.level = 0.95. Additionally, if you pass
newdata = my_tibble to an augment() method that does not
accept a newdata argument, it will use the default value for
the data argument.
Other survreg tidiers:
augment.survreg(),
tidy.survreg()
Other survival tidiers:
augment.coxph(),
augment.survreg(),
glance.aareg(),
glance.cch(),
glance.coxph(),
glance.pyears(),
glance.survdiff(),
glance.survexp(),
glance.survfit(),
tidy.aareg(),
tidy.cch(),
tidy.coxph(),
tidy.pyears(),
tidy.survdiff(),
tidy.survexp(),
tidy.survfit(),
tidy.survreg()
A tibble::tibble() with exactly one row and columns:
Akaike's Information Criterion for the model.
Bayesian Information Criterion for the model.
Degrees of freedom used by the model.
Residual degrees of freedom.
Iterations of algorithm/fitting procedure completed.
The log-likelihood of the model. [stats::logLik()] may be a useful reference.
Number of observations used.
P-value corresponding to the test statistic.
Chi-squared statistic.
# feel free to ignore the following line—it allows {broom} to supply
# examples without requiring the model-supplying package to be installed.
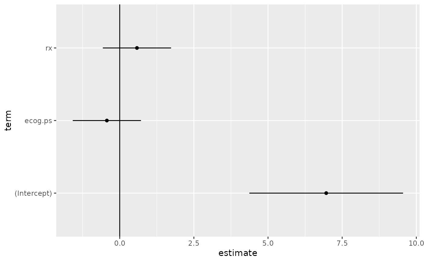
if (requireNamespace("survival", quietly = TRUE)) {
# load libraries for models and data
library(survival)
# fit model
sr <- survreg(
Surv(futime, fustat) ~ ecog.ps + rx,
ovarian,
dist = "exponential"
)
# summarize model fit with tidiers + visualization
tidy(sr)
augment(sr, ovarian)
glance(sr)
# coefficient plot
td <- tidy(sr, conf.int = TRUE)
library(ggplot2)
ggplot(td, aes(estimate, term)) +
geom_point() +
geom_errorbarh(aes(xmin = conf.low, xmax = conf.high), height = 0) +
geom_vline(xintercept = 0)
}