Residuals versus time


## Creating CWRES column from CWRESI

## Creating CWRES column from CWRESI

Residuals versus PRED


## Creating CWRES column from CWRESI

Residual histogram
## Creating CWRES column from CWRESI
## `stat_bin()` using `bins = 30`. Pick better value with `binwidth`.

Residual QQ plot
## Creating CWRES column from CWRESI

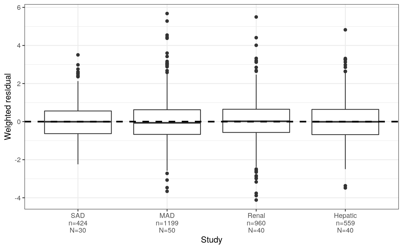
Residuals versus categorical variable

Residuals versus continuous variables
## Creating CWRES column from CWRESI
